搜 索
搜 索
网站首页
党建专题
学习园地
支部动态
走进文理
文理简介
文理动态
专业介绍
招生政策
招生计划
历年分数
在线咨询
常见问题
智能问答
视频展示
校园风光
资助政策
创新创业
国际教育
录取查询
在线咨询
快速导航
视频展示
校园风光
资助政策
创新创业
国际教育
录取查询
在线咨询
引导页
·
历年分数
· 正文
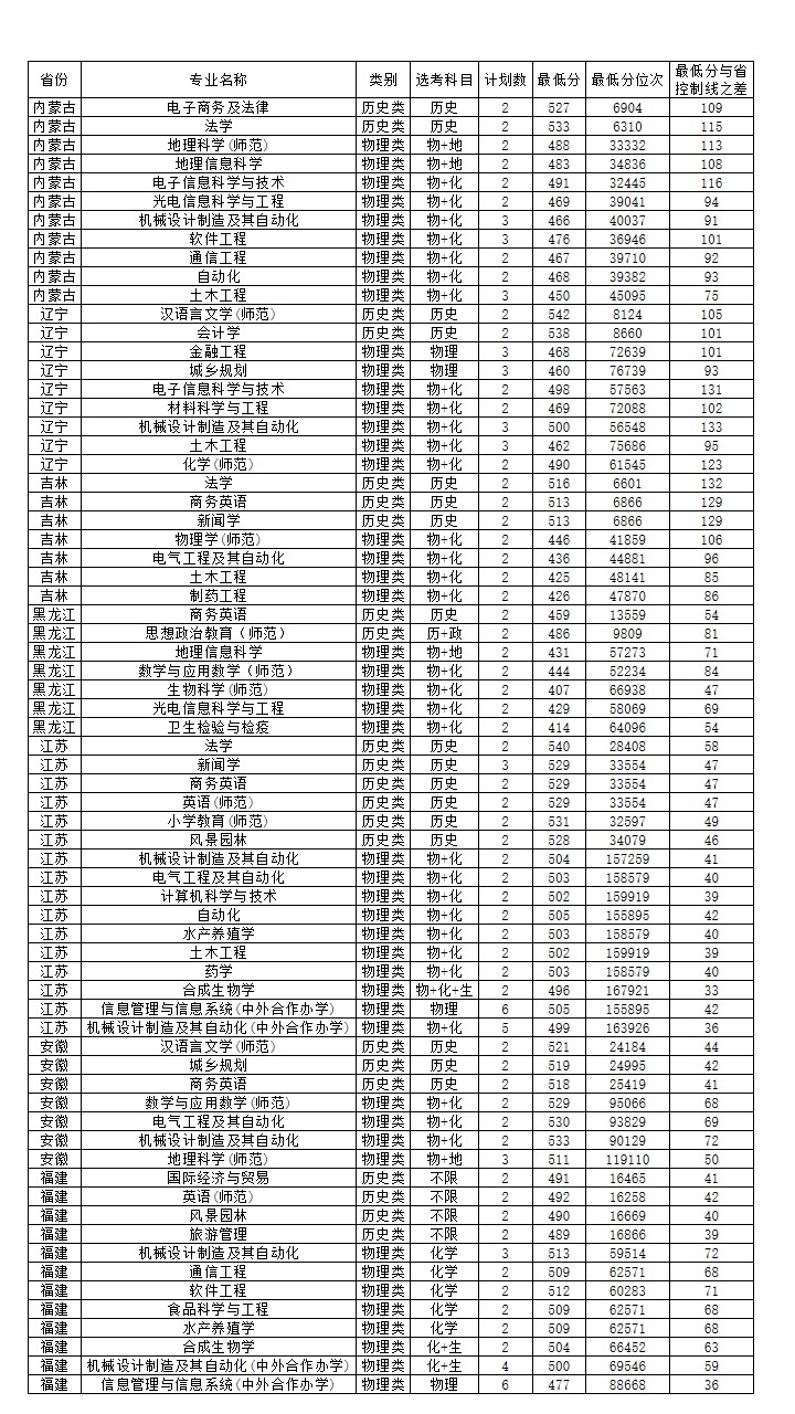
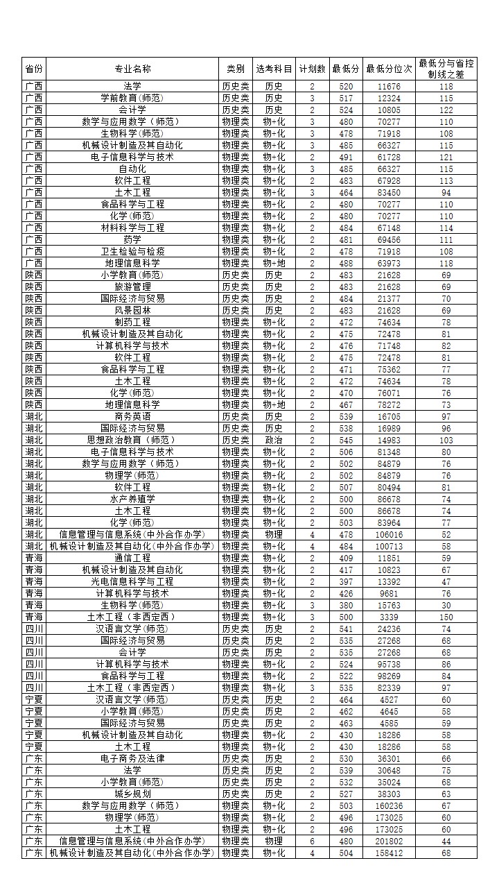
历年分数
2025年省外普通类录取情况一览表
审核人:
【
关闭窗口
】